单板干燥后单板烘干机,对单板进行收缩,变形,水分含量及其分布方面的评估。
首先谈谈单板的收缩和变形。木材可以吸收一定量的水,并且木材的尺寸会因水分含量而改变。当水分含量降低时,木材的尺寸会变小,这也称为收缩。相反,如果木材的水分含量增加,木材的尺寸就会增加,这也称为膨胀。
在单板干燥机干燥单板之后,单板的形式将发生变化,主要表现为单板的收缩,翘曲,各个方向的开裂以及单板末端的波浪。
当单板被单板去皮机(旋切机),它是沿着年轮的方向进行的。因此,单板宽度上的收缩等于木材的弦向收缩,而厚度上的收缩等同于木材的径向收缩。纵向是纵向。
水分含量和厚度的状态不同,单板干燥的状态也不同。当饰面板的厚度增加时,税率将随着干燥而增加。因此,内部湿层将阻碍表层的收缩,并且表层的收缩受到限制。小。在该方向上,厚薄板的收缩率大于薄薄板的收缩率。简而言之,厚薄板在宽度方向上的收缩率比薄薄板低,而厚薄板在厚度方向上的收缩率大。
快速干燥时,温度越高,收缩率越小。
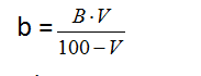
如果先切割单板然后干燥,则在切割湿单板时,必须保留足够的宽度以缩小边距。干缩裕度由板宽b决定:
B =干单板宽度(毫米)
V =宽度方向的收缩率(%)。
如果先干燥然后剪切,则无需考虑留下干燥收缩。在连续干燥中,单板的前进方向垂直于单板的水平方向,因此木材的水平方向的抗拉强度会相对较低。干燥后,单板的水分含量达到纤维的饱和点后,单板的输送速度降低。
旋切时还应考虑单板厚度的厚度裕度d:
D =干板厚度(毫米)
Vh =厚度方向的干缩率(%)
关于单板干燥质量控制的收缩,希望对您有所帮助。
